欢迎访问广西中医药大学第二附属医院官方网站

设为首页 收藏网站

裹中参西,厚德精医

徐富业工作室

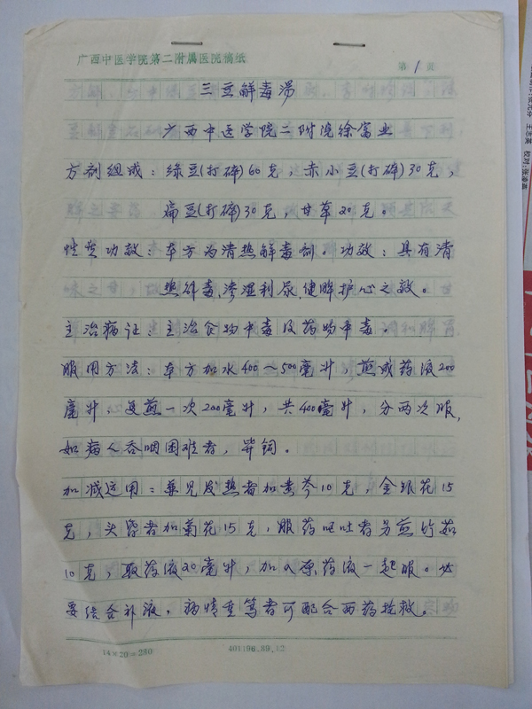
手稿:三豆解毒汤

发布时间:2014-10-14作者:点击:

分享到:

201410140829037791.jpg

以案促改

清廉医院

纪检举报

预约挂号

门诊流程

医保指南

健康体检

联系我们

返回顶部